Important Date - October 14, 2018

October 14, 2018 is the cutoff date to plugin your Maps API Keys for your Easyembeds and StreetView based tours*.  Without a valid Maps API keys, these tours would show as plain StreetView after October 14, 2018.


*There is no cutoff date for Panohost based tours as these would be upgraded to WalkInto viewer, which wont require a Maps API key. Until then no need to plugin Maps API key for these tours.


Google changed its Maps API usage policies and pricing, what is the change?

Effective July 16, 2018, Google increased its Maps API pricing significantly. It also mandated the use of API Keys and made its "pay as you go" model mandatory for Maps API Usage. Please refer to the current pricing here.



Earlier
Effective July 16, 2018
Free Quota
25,000 API calls daily.
14,000 API calls monthly 
(in the form of USD 200 per month)
Price per 1000 API calls after exhausting free quota
USD 0.5  
USD 14
API Calls
Allowed without an API key
No access without API Key


What is Google Maps API and an API Key? 

Google stores maps information and the StreetView images on its servers. APIs (Application Programming Interfaces) are services that Google provides to allow access the Map Data and StreetView images stored on its servers. These APIs allows developers to use Map Data and StreetView images to build custom software products/services such as WalkInto. Typically access to APIs are chargeable by the providers. In case of Maps APIs, Google charges for the use of Maps Data and StreetView images.  The charge is directly proportional to the usage, i.e. number of times the map data/StreetView images are accessed, the charges would levied accordingly. 


Any software can use Googles APIs, therefore to uniquely identify the user of an API, the API keys are needed. Think of API keys as a unique number that you send to Google every-time you use their APIs. With that, Google not only knows who used their API, it also knows how many times their API was used and accordingly Google can charge you for the API usage.


I understand APIs and API keys but how do I know if I need Maps API Keys or not?

If you are using just the StreetView embed, you don't need API keys as StreetView embed is provided by Google and Google wont charge itself and for the same reason, no API keys are required to embed StreetView. Similarly if you are using Google Poly, you dont need any API keys, as this feature is provided by Google. However if you use an overlay product such as WalkInto, you would need the API keys to use StreetView images, maps data in that overlay product


How does the new Maps API Price impact my WalkInto tours?

Because of the Google policy and price change, your WalkInto tours are impacted. You are required to plugin Maps API keys for your StreetView based WalkInto Tours as well Easyembeds. Your Panohost based tours are not impacted due to this change. Starting from October 15th, 2018 if you don't have a Maps API key configured in WalkInto, your tours as well Easyembeds, would show as plain StreetView.


I am concerned about how much I would have to pay to Google for using API Keys in my WalkInto tours?

We understand your concern especially with the variable nature of the Maps API cost, more the usage, more the cost, however there is no need to panic. We analyzed the API usage for all of our users. What we found that API usage for 90% of our users is well within the free quota of 14,000 APIs a month across all tours. Only 10% of WalkInto users are impacted where total API usage across tours goes beyond 14,000 a month. You should check the API usage for your tours by following the below video. It allows you to find out the past API usages across your tours.




How do I get my own Google Maps API keys?

Refer to the following article to get your own Google Maps API Keys - How to setup Google Cloud for using Maps API Keys


How does Google cloud manage and allocate free maps API quota of 14,000 a month?

Google Cloud allows following structure to manage resources.


A Google cloud account can have one or more billing accounts. Each billing account requires a billing address, business name and a credit card. Each billing account can have multiple projects and each project can have multiple API keys. 

Google provides USD 200 credit a month for each billing account. Current API usage is charged at USD 14 per 1000 API calls, therefore this credit of USD 200 allows you to use (200/14)*1000 = 14,000 API calls a month free of charge. Therefore by getting a credit of USD 200 a month, you get your 14,000 free quota every month. 


If you have just one billing account and you create multiple keys, your free quota of 14,000 stays the same i.e. it will be consumed by all API keys. 


Does Google provide 14,000 free API usage in addition to USD 200 credit every month?

No, the monthly free quota of 14,000 is provided through the credit of $200 per month to each billing account by Google. USD 200 allows you to use (200/14)*1000 = 14,000 API calls a month, free of charge.


Can I create multiple billing accounts or for that matter multiple Google accounts to get more API quota?

Yes, technically you can. Each billing account requires a business name, address and a credit/debit card. So you could add multiple credit/debit cards with different business names/addresses for each billing account. Or you could create multiple Google accounts and setup billing accounts under those. As of now Google allows same credit/debit card to be used under different billing accounts. However, Google has all the data to plug the lacuna and prevent the use of same credit/debit cards across billing accounts or google accounts.


With the new Maps API Price, can I predict the Maps API cost for my WalkInto Tours?

Yes, you could use the Maps API Usage report in your WalkInto dashboard which shows you the historical data for your WalkInto tours as well as calculates the estimated cost based on that data. Here is a video with the details - 




How do I plugin Maps API Keys in WalkInto?

Refer to the following article to configure your own Google Maps API Keys in WalkInto - How to use Google Maps API keys in WalkInto

 


When does WalkInto use Maps APIs?

WalkInto uses Maps API keys when you search for StreetView images in WalkInto, on the editor when you load an image, while generating thumbnails for your panos and when you view a tour or Easyembed. When someone views your published tour, one API call happens irrespective how many panos they visit. Another API call happens when someone opens the maps information window. So a view of your WalkInto tour can consume one or two API calls depending on the user interaction.  


If I plugin Maps API Keys, when would WalkInto use it?

WalkInto would use your keys only when someone accesses your published tour or published customer preview link. WalkInto will not use your key while you are creating or editing a tour. 


If I don’t get to apply the API keys, would my WalkInto tour be removed from my WalkInto account?

No, your WalkInto tour stays as is, with all of its elements such as menus, hotspots, tour cards, floor plan etc. In fact, you could open that tour in the editor as well. However, when someone else accesses the tour via its published link or when it is embedded in a website, they will see the plain StreetView embed instead of seeing the WalkInto Tour.


So how many keys I need?

For your own tours, just one key should be sufficient unless you want to track the API usage differently for different tours. In that case you would create multiple keys, one for each tour for which you want to track the usage separately.  Please note that creating many keys doesn't mean you get more free API usage quota. Here are some illustrations that help you in understanding how the keys and the API quota works together. Remember the monthly free quota of 14,000 is provided through the credit of $200 per month to each billing account by Google.


One key for all your tours -

This would distribute the free quota of 14,000 across all of your tours.



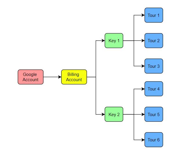
Multiple keys from a  single billing account for all of your tours -

In this scenarios, as all the keys belong to the same billing account, the free quota of 14,000 is shared by all the keys. The only benefit of this scenario is, you could track the API usage separately for each key.

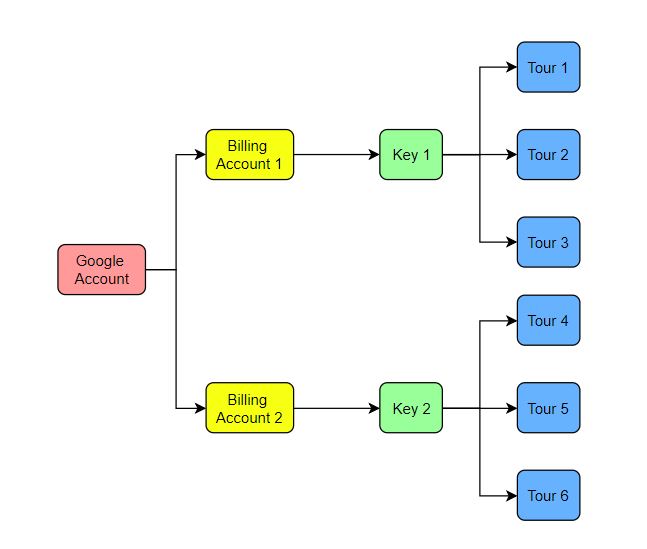
Multiple keys from multiple billing account for all of your tours -

In this scenarios, as the keys belong to two different billing account, the free quota would be 14,000 for each billing account, so you get total free quota of 14,000 + 14,0000 = 28,000 for your tours. 

Multiple keys from multiple Google accounts for all of your tours -

In this scenarios, as the keys belong to the billing accounts of two different Google accounts, the free quota would be 14,000 for each billing account of a Google account, so you get total free quota of 14,000 + 14,0000 = 28,000 for your tours. 



Multiple keys from multiple Google accounts and multiple billing accounts for all of your tours -

In this scenarios, as the keys belong to the different billing accounts of two different Google accounts, the free quota would be 14,000 for each billing account of a Google account, so you get total free quota of 14,000 + 14,0000 + 14,000 + 14,000 = 56,000 for your tours. 



What are the best practices/recommendations for using Maps API Keys?

Google provides USD 200 credit per month for each billing account configured in Google Cloud account. This credit is used across all the API keys you create under that billing account. Technically you could create multiple billing accounts and claim the credit of USD 200 for each billing account separately, providing you with more free quota for your API usage. However we believe Google will continue to make it difficult for people to to exploit lacunae in their billing model. Our recommendations therefore are aligned with the fair usage of Google's Maps API. 

  1. Customer provides their own Maps API Keys - This one is a simple scenario where you would obtain a key from customer for their WalkInto tours. If the customer has one tour, use a key for that tour. If a customer has multiple tours, say multi location business, then depending on tour traffic traffic if say it is more than 14,000 a month for all tours combined, you may want to ask your customer for multiple keys. If you don't anticipate combined tour traffic to go beyond 14,000, you may use the same key for all customer tours.  Will be a good idea to check with customers about the number of monthly visitors they get to their website, allowing you to estimate the tour traffic and find out if you need single or multiple keys.
  2. Pay-per-view model, use your own keys - In this model, you would want to track the API usage for each customer and their tours so as to charge them accordingly. You can achieve this by creating a separate key for each customer tour and plugging it into WalkInto separately for their tours. This would allow you to see the API usage separately for each key and accordingly charge the customer. 
  3. Your demo tours and Easyembeds, use your own keys -  Create and use your own Maps API Key. You can mark this as a default key in WalkInto, so that it gets used for any tour without key as well for your Easyembeds. Unless you want to track the Maps API usage via API keys, one key would be sufficient and you should just mark it as your default key. But lets say if you want to track the API usage of your Easyembeds and your demo/showcase tours separately, you could create two keys. Add first key to WalkInto and mark it as your default key so that it gets used for your easy embeds. Then add another key and associate it with each demo/showcase tour separately. This would allow you to track the usage of each key in your Google Cloud API usage console. 


What steps I can take to limit the Maps API usage and manage the Maps API cost for my tours?

You can manage your Maps API usage costs in several ways. WalkInto provides you with several ways to limit the Maps API usage, you could also use configurations in your Google Cloud account to limit the Maps API usage and contain the associated costs. Refer to the following article to get your own Google Maps API Keys - How to limit the Maps API usage and manage the Maps API cost for my tours?


How does the Maps API price change impact my Virtual Tour offering?

A new cost element i.e. Google Maps API is getting added to the overall cost of your Virtual Tours, which already includes photo-shoot, tour creation, WalkInto license, periodic maintenance costs etc. You would notice, all the other costs are predictable except for Maps API, and it has to somehow reflect in your offer. There are two ways to handle it - 

  1. No change in your existing offer - Be transparent with your customer, explain the Maps API price change, ask them to create and provide their own maps API keys. 
  2. Make your offer Pay Per View with periodic billing - Change your offer to add Pay Per View dimension, which adds a periodic billing element to it, if it wasn't already there. A typical offer may have following elements- 
    1. Photoshoot (one time) - A
    2. Tour creation (one time) - B
    3. Periodic Maintenance Charges - C, where C consists of 
      1. Tour hosting fee (WalkInto hosting fee, if not life time) - C1
      2. Any changes to the tour up to x hrs of effort - C2
      3. Periodic delivery of Tour Analytics and Usage data - C3
      4. 1000 views a month (included) - C4
      5. Views above 1000 a month charged at USD X per 1000 views (X could be 14 or 14 + your markup ) - C5
    4. Total Price would be Fixed - (A+B) and Variable -  C, where C is billed periodically (monthly/quarterly).
      My customer agrees to provide their own key, but they have a limited budget of USD 100 per month, how can we support this scenario?
      If a customer is willing to pay not more than x dollars a month, you can find out how many views x dollars can buy based on the Google pricing and put that limit in WalkInto. That way you can support this use case. Say for example a customer is willing to pay up to $100 per month. Now customer is providing their own key, so they are already getting 14,000 free views per month (assuming that WalkInto is the only software using their keys). Let's find out how many additional views this $100 will buy. That would be (100/14)*1000 = 7142 views. So a customer can get maximum up to 14,000 + 7142 = 21142 views in a month by keeping a $100 per month budget aside. Now you can configure this 21142 limit in WalkInto for the customer key. Once the number of monthly views goes beyond 21142, WalkInto would serve StreetView embed instead of WalkInto tour, ensuring that your customer spend stays within their budget of $100 per month.


My customer agrees to provide their own Maps API key, but they have a limited budget of USD 100 per month, how can I support this scenario?

If a customer is willing to pay not more than x dollars a month, you can find out how many views x dollars can buy based on the Google pricing and put that limit in WalkInto. That way you can support this use case. Say for example a customer is willing to pay up to $100 per month. Now customer is providing their own key, so they are already getting 14,000 free views per month (assuming that WalkInto is the only software using their keys). Let's find out how many additional views this $100 will buy. That would be (100/14)*1000 = 7142 views. So a customer can get maximum up to 14,000 + 7142 = 21142 views in a month by keeping a $100 per month budget aside. Now you can configure this 21142 limit in WalkInto for the customer key. Once the number of monthly views goes beyond 21142, WalkInto would serve StreetView embed instead of WalkInto tour, ensuring that your customer spend stays within their budget of $100 per month.